完成了数据的收集、整理之后,就要进行数据统计分析了。记住,所有工具的任务都是确定无效假设的概率(如果p<0.05则拒绝无效假设,如果p>0.05则不能拒绝无效假设)。大部分研究者都是用电脑进行分析,因此可能忽视以下式子。注意:使用自己不懂的方程式是非常危险的。
1. 参数检验
参数分析是历史最长也最常见的分析类型。它们可以轻松处理大量数据和复杂的实验设计。并且,电脑和科学计算器的所有统计程序包都支持其中最常用的方法(相关性分析,t检验,方差分析)。在处理数据前,必须确保它符合三个参数假设:
(1) 所有观测值都独立于其它观测值。这一假设是一项精密实验的结论,不需要正式检验。
(2) 数据呈正态分布。可通过频数分布检验。
(3) 不同组的方差相同。检验方法有很多(如F-max检验、Bartlett检验),并且常与参数分析一起进行。如果没有电脑,也可以计算标准差,寻找数值明显过大的组。
A. Student t检验
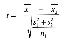
这种方法用来比较两个不同样本。为了计算无效假设正确的概率,我们使用以下公式:
	
 
	 
	
x1和x2是均数,s12和s22是均方差,n1和n2是对应组的样本量。当n1=n2时,这个等式可以简化为:
	
	 
	
接下来在表中找出t的临界值。临界值由自由度df(n1+n2-2)和显著度(一般是0.05)决定。如果计算结果大于等于临界值,我们就可以拒绝无效假设,并说“两组间有显著差异”。
B. 方差分析(analysis of variance, ANOVA)
方差分析用来判断两个以上组别之间是否存在差异。ANOVA的假设和t检验类似,它的统计量叫F值,并且也有对应概率值。与t检验相同,如果p值小于0.05,我们就拒绝无效假设(各组间无差别)。注意,p值仅告诉我们存在差异,但不告诉我们差异在哪里。因此,ANOVA通常与多重比较因果分析相结合(如Bonferroni检验或Tukey检验),后者可以确定差异来源。
C. 相关和回归
有些情况下,我们不需知道两组间是否有差别,但是需要知道两个变量是否相关。恰当的分析方式是Pearson r相关分析。r值范围在-1.00(完全负相关)到1.00(完全正相关)之间。r=0.00时两变量无关。无效假设为两种变量之间没有关联,即r=0.00。这种检验也有三项参数假设,此外还有第四项假设,即变量之间的联系是线性的。
需要记住的是:相关并不代表因果。要想确定因果关系,你必须改变实验方法。如果想要知道A是否导致B,就要改变A,检查它对于B的影响。此时我们使用的分析方式是回归分析。它的计算与Pearson r相似。在回归分析中,检验量叫变异系数(R2),范围为0%-100%。75%的R2意思是依赖变量(即你测量的变量)变化程度的75%来源于自变量(你操纵的变量)的变化。注意,即使你做了回归分析,也不能说它就是因果关系。要想使用回归分析证明因果关系,你就必须进行控制实验,或者有极好的先验原因来假设因果。
	
扫描下方二维码,关注【埃米编辑】公众号,获取更多SCI论文写作资料。
	
 
	
 
	
 
编译/石珺怡
参考资料:http://abacus.bates.edu/~ganderso/biology/resources/statistics.html